cas号查询
登录
注册
化源商城
首页
我的化源
个人信息
我的求购
我的供货
快速发布求购
联系我们
English
前往化源商城
文献检索
官能团搜索
结构式搜索
搜索
供应商:
我要出现这里
暂无推荐供应商。
我要出现这里
相关CAS号:
87280-22-6
101386-02-1
52601-19-1
72121-09-6
897049-83-1
30358-87-3
54243-45-7
139192-89-5
2765041-85-6
1188184-08-8
91486-00-9
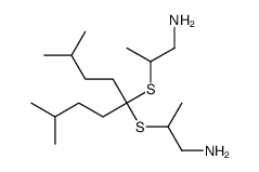
91486-00-9结构式
常用中文名:
2-[5-(1-aminopropan-2-ylsulfanyl)-2,8-dimethylnonan-5-yl]sulfanylpropan-1-amine
常用英文名:
2-[5-(1-aminopropan-2-ylsulfanyl)-2,8-dimethylnonan-5-yl]sulfanylpropan-1-amine
CAS号:
91486-00-9
分子式:
C
17
H
38
N
2
S
2
分子量:
334.62700
发布时间:
2017-12-20 18:38:32
更新时间:
2025-09-21 18:06:00
化源商城直购
名称
物化性质
英文名
2-[5-(1-aminopropan-2-ylsulfanyl)-2,8-dimethylnonan-5-yl]sulfanylpropan-1-amine
分子式
C
17
H
38
N
2
S
2
分子量
334.62700
精确质量
334.24800
PSA
102.64000
LogP
6.11650
本网页内容来自不同专业数据源,如对内容有疑义,欢迎联系service1@chemsrc.com。
【91486-00-9】化源网提供CAS号/CAS登录号91486-00-9,CAS No.:91486-00-9的msds、结构式、性质、英文名、生产厂家、作用/用途、分子式/化学式、密度、沸点、熔点等。CAS号查询91486-00-9上化源网,专业又轻松。
标题:91486-00-9_CAS号:91486-00-9_CAS No.:91486-00-9 - 化源网 地址:https://m.chemsrc.com/baike/1081833.html
×
详细合成路线
×
退出
×
登录
用户名:
密 码: