cas号查询
登录
注册
化源商城
首页
我的化源
个人信息
我的求购
我的供货
快速发布求购
联系我们
English
前往化源商城
文献检索
官能团搜索
结构式搜索
搜索
供应商:
我要出现这里
暂无推荐供应商。
我要出现这里
相关CAS号:
29270-64-2
923202-19-1
923679-99-6
923679-49-6
923173-30-2
161468-54-8
872993-78-7
872993-89-0
872993-94-7
872993-97-0
111492-12-7
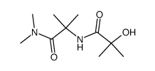
111492-12-7结构式
常用中文名:
2-(2-hydroxy-2-methylpropionamido)-N,N,2-trimethylpropionamid
常用英文名:
2-(2-hydroxy-2-methylpropionamido)-N,N,2-trimethylpropionamid
CAS号:
111492-12-7
分子式:
C
10
H
20
N
2
O
3
分子量:
216.27700
发布时间:
2018-02-09 23:36:44
更新时间:
2025-09-18 16:15:40
化源商城直购
名称
物化性质
英文名
2-(2-hydroxy-2-methylpropionamido)-N,N,2-trimethylpropionamid
英文别名
2-(2-Hydroxy-2-methyl-propionylamino)-2,N,N-trimethyl-propionamide
分子式
C
10
H
20
N
2
O
3
分子量
216.27700
精确质量
216.14700
PSA
69.64000
LogP
0.13120
本网页内容来自不同专业数据源,如对内容有疑义,欢迎联系service1@chemsrc.com。
【111492-12-7】化源网提供CAS号/CAS登录号111492-12-7,CAS No.:111492-12-7的msds、结构式、性质、英文名、生产厂家、作用/用途、分子式/化学式、密度、沸点、熔点等。CAS号查询111492-12-7上化源网,专业又轻松。
标题:111492-12-7_CAS号:111492-12-7_CAS No.:111492-12-7 - 化源网 地址:https://m.chemsrc.com/baike/1347253.html
×
详细合成路线
×
退出
×
登录
用户名:
密 码: