cas号查询
登录
注册
化源商城
首页
我的化源
个人信息
我的求购
我的供货
快速发布求购
联系我们
English
前往化源商城
文献检索
官能团搜索
结构式搜索
搜索
供应商:
我要出现这里
四川恒诚致远生物科技有限公司
四川省
成都市
温江区
产品名:
绞股蓝皂苷XCI
纯度:98.0%
规格:5mg/20mg/100mg/1g
联系人:张半夏
联系电话:18113192475
查看所有供应商和价格请点击:
2793436-99-2生产厂家
2793436-99-2价格
相关CAS号:
15588-68-8
11028-00-5
94987-08-3
94987-09-4
157752-01-7
80321-69-3
110261-98-8
94705-70-1
80321-63-7
67416-61-9
2763894-87-5
2228873-69-4
2229306-49-2
2228121-41-1
2229550-39-2
2228815-70-9
2227801-70-7
2227906-20-7
2229659-02-1
2229303-34-6
2793436-99-2
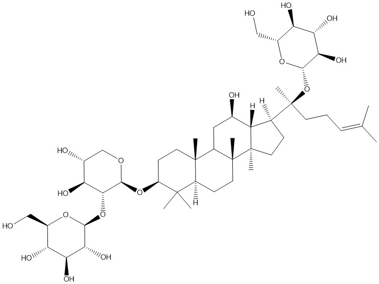
2793436-99-2结构式
常用中文名:
绞股蓝皂苷
常用英文名:
Gypenoside XCI
CAS号:
2793436-99-2
分子式:
C
47
H
80
O
17
分子量:
916
发布时间:
2024-04-16 17:50:41
更新时间:
2025-09-22 08:29:19
化源商城直购
名称
物化性质
中文名
绞股蓝皂苷
英文名
Gypenoside XCI
分子式
C
47
H
80
O
17
分子量
916
本网页内容来自不同专业数据源,如对内容有疑义,欢迎联系service1@chemsrc.com。
【2793436-99-2】化源网提供CAS号/CAS登录号2793436-99-2,CAS No.:2793436-99-2的msds、结构式、性质、英文名、生产厂家、作用/用途、分子式/化学式、密度、沸点、熔点等。CAS号查询2793436-99-2上化源网,专业又轻松。
标题:2793436-99-2_CAS号:2793436-99-2_CAS No.:2793436-99-2 - 化源网 地址:https://m.chemsrc.com/baike/1823553.html
×
详细合成路线
×
退出
×
登录
用户名:
密 码: