cas号查询
登录
注册
化源商城
首页
我的化源
个人信息
我的求购
我的供货
快速发布求购
联系我们
English
前往化源商城
文献检索
官能团搜索
结构式搜索
搜索
供应商:
我要出现这里
暂无推荐供应商。
我要出现这里
相关CAS号:
2137745-46-9
2008740-17-6
2137812-44-1
2137826-82-3
2137814-93-6
2137566-49-3
2138412-88-9
2023501-36-0
2025904-43-0
2137903-92-3
7470-89-5
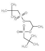
7470-89-5结构式
常用中文名:
1-Propanesulfonicacid, 2,2-dimethyl-, 1-methyl-1,2-ethanediyl ester (9CI)
常用英文名:
1-Propanesulfonicacid, 2,2-dimethyl-, 1-methyl-1,2-ethanediyl ester (9CI)
CAS号:
7470-89-5
分子式:
C
13
H
28
O
6
S
2
分子量:
344.48800
发布时间:
2016-11-17 22:26:37
更新时间:
2025-08-27 16:52:34
化源商城直购
名称
物化性质
英文名
2-(2,2-dimethylpropylsulfonyloxy)propyl 2,2-dimethylpropane-1-sulfonate
密度
1.154g/cm3
沸点
482.4ºC at 760mmHg
分子式
C
13
H
28
O
6
S
2
分子量
344.48800
闪点
245.6ºC
精确质量
344.13300
PSA
103.50000
LogP
4.32150
折射率
1.47
本网页内容来自不同专业数据源,如对内容有疑义,欢迎联系service1@chemsrc.com。
【7470-89-5】化源网提供CAS号/CAS登录号7470-89-5,CAS No.:7470-89-5的msds、结构式、性质、英文名、生产厂家、作用/用途、分子式/化学式、密度、沸点、熔点等。CAS号查询7470-89-5上化源网,专业又轻松。
标题:7470-89-5_CAS号:7470-89-5_CAS No.:7470-89-5 - 化源网 地址:https://m.chemsrc.com/baike/446460.html
×
详细合成路线
×
退出
×
登录
用户名:
密 码: