前往化源商城

93939-88-9

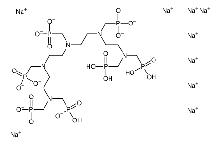
93939-88-9结构式
93939-88-9结构式

化源商城直购

英文名 nonasodium,N'-[2-[bis(phosphonatomethyl)amino]ethyl]-N-[2-[2-[bis(phosphonatomethyl)amino]ethyl-(phosphonatomethyl)amino]ethyl]-N,N'-bis(phosphonatomethyl)ethane-1,2-diamine,hydron
英文别名 Nonasodium pentahydrogen (((phosphonatomethyl)imino)bis(ethylene((phosphonatomethyl)imino)ethylenenitrilobis(methylene)))tetrakisphosphonate
EINECS 300-379-5
分子式 C15H35N5Na9O21P7
分子量 1045.18000
精确质量 1044.91000
PSA 513.05000
LogP 0.38660
本网页内容来自不同专业数据源,如对内容有疑义,欢迎联系service1@chemsrc.com。