cas号查询
登录
注册
化源商城
首页
我的化源
个人信息
我的求购
我的供货
快速发布求购
联系我们
English
前往化源商城
文献检索
官能团搜索
结构式搜索
搜索
供应商:
我要出现这里
暂无推荐供应商。
我要出现这里
相关CAS号:
923203-75-2
925646-86-2
925011-31-0
928991-07-5
24252-59-3
923194-36-9
923243-55-4
63650-25-9
919723-80-1
4203-48-9
93799-10-1
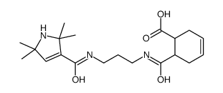
93799-10-1结构式
常用中文名:
6-[3-[(2,2,5,5-tetramethyl-1H-pyrrole-3-carbonyl)amino]propylcarbamoyl]cyclohex-3-ene-1-carboxylic acid
常用英文名:
6-[3-[(2,2,5,5-tetramethyl-1H-pyrrole-3-carbonyl)amino]propylcarbamoyl]cyclohex-3-ene-1-carboxylic acid
CAS号:
93799-10-1
分子式:
C
20
H
31
N
3
O
4
分子量:
377.47800
发布时间:
2016-09-08 00:20:45
更新时间:
2025-12-02 10:58:21
化源商城直购
名称
物化性质
英文名
6-[3-[(2,2,5,5-tetramethyl-1H-pyrrole-3-carbonyl)amino]propylcarbamoyl]cyclohex-3-ene-1-carboxylic acid
分子式
C
20
H
31
N
3
O
4
分子量
377.47800
精确质量
377.23100
PSA
114.51000
LogP
3.37210
本网页内容来自不同专业数据源,如对内容有疑义,欢迎联系service1@chemsrc.com。
【93799-10-1】化源网提供CAS号/CAS登录号93799-10-1,CAS No.:93799-10-1的msds、结构式、性质、英文名、生产厂家、作用/用途、分子式/化学式、密度、沸点、熔点等。CAS号查询93799-10-1上化源网,专业又轻松。
标题:93799-10-1_CAS号:93799-10-1_CAS No.:93799-10-1 - 化源网 地址:https://m.chemsrc.com/baike/492720.html
×
详细合成路线
×
退出
×
登录
用户名:
密 码: