cas号查询
登录
注册
化源商城
首页
我的化源
个人信息
我的求购
我的供货
快速发布求购
联系我们
English
前往化源商城
文献检索
官能团搜索
结构式搜索
搜索
供应商:
我要出现这里
暂无推荐供应商。
我要出现这里
相关CAS号:
933720-62-8
209333-19-7
180002-01-1
168897-65-2
175712-67-1
2620-84-0
202745-75-3
1557656-80-0
145704-82-1
161987-58-2
90018-28-3
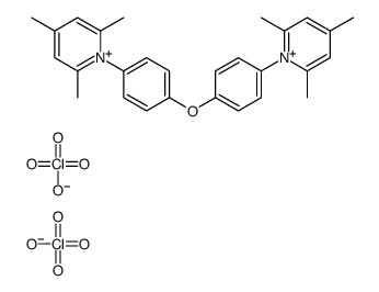
90018-28-3结构式
常用中文名:
2,4,6-trimethyl-1-[4-[4-(2,4,6-trimethylpyridin-1-ium-1-yl)phenoxy]phenyl]pyridin-1-ium,diperchlorate
常用英文名:
2,4,6-trimethyl-1-[4-[4-(2,4,6-trimethylpyridin-1-ium-1-yl)phenoxy]phenyl]pyridin-1-ium,diperchlorate
CAS号:
90018-28-3
分子式:
C
28
H
30
Cl
2
N
2
O
9
分子量:
609.45200
发布时间:
2016-02-04 16:57:18
更新时间:
2025-10-06 19:26:29
化源商城直购
名称
物化性质
英文名
2,4,6-trimethyl-1-[4-[4-(2,4,6-trimethylpyridin-1-ium-1-yl)phenoxy]phenyl]pyridin-1-ium,diperchlorate
分子式
C
28
H
30
Cl
2
N
2
O
9
分子量
609.45200
精确质量
608.13300
PSA
165.53000
LogP
6.31130
本网页内容来自不同专业数据源,如对内容有疑义,欢迎联系service1@chemsrc.com。
【90018-28-3】化源网提供CAS号/CAS登录号90018-28-3,CAS No.:90018-28-3的msds、结构式、性质、英文名、生产厂家、作用/用途、分子式/化学式、密度、沸点、熔点等。CAS号查询90018-28-3上化源网,专业又轻松。
标题:90018-28-3_CAS号:90018-28-3_CAS No.:90018-28-3 - 化源网 地址:https://m.chemsrc.com/baike/54598.html
×
详细合成路线
×
退出
×
登录
用户名:
密 码: