cas号查询
登录
注册
化源商城
首页
我的化源
个人信息
我的求购
我的供货
快速发布求购
联系我们
English
前往化源商城
文献检索
官能团搜索
结构式搜索
搜索
供应商:
我要出现这里
暂无推荐供应商。
我要出现这里
相关CAS号:
2243053-35-0
2029192-98-9
2225126-84-9
2756307-49-8
1706435-99-5
887354-56-5
2504202-69-9
1256633-13-2
1934753-66-8
1440427-84-8
1313372-01-8
1849196-94-6
121237-84-1
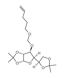
121237-84-1结构式
常用中文名:
(3aR,5R,6S,6aR)-5-((R)-2,2-dimethyl-1,3-dioxolan-4-yl)-2,2-dimethyl-6-((pent-4-en-1-yloxy)methoxy)tetrahydrofuro[2,3-d][1,3]dioxole
常用英文名:
(3aR,5R,6S,6aR)-5-((R)-2,2-dimethyl-1,3-dioxolan-4-yl)-2,2-dimethyl-6-((pent-4-en-1-yloxy)methoxy)tetrahydrofuro[2,3-d][1,3]dioxole
CAS号:
121237-84-1
分子式:
C
18
H
30
O
7
分子量:
358.42700
发布时间:
2016-10-02 16:12:21
更新时间:
2021-01-31 20:14:34
化源商城直购
名称
物化性质
上下游产品
英文名
(3aR,5R,6S,6aR)-5-((R)-2,2-dimethyl-1,3-dioxolan-4-yl)-2,2-dimethyl-6-((pent-4-en-1-yloxy)methoxy)tetrahydrofuro[2,3-d][1,3]dioxole
分子式
C
18
H
30
O
7
分子量
358.42700
精确质量
358.19900
PSA
64.61000
LogP
2.33980
上游产品
0
下游产品
1
582-52-5
本网页内容来自不同专业数据源,如对内容有疑义,欢迎联系service1@chemsrc.com。
【121237-84-1】化源网提供CAS号/CAS登录号121237-84-1,CAS No.:121237-84-1的msds、结构式、性质、英文名、生产厂家、作用/用途、分子式/化学式、密度、沸点、熔点等。CAS号查询121237-84-1上化源网,专业又轻松。
标题:121237-84-1_CAS号:121237-84-1_CAS No.:121237-84-1 - 化源网 地址:https://m.chemsrc.com/baike/570054.html
×
详细合成路线
×
退出
×
登录
用户名:
密 码: