cas号查询
登录
注册
化源商城
首页
我的化源
个人信息
我的求购
我的供货
快速发布求购
联系我们
English
前往化源商城
文献检索
官能团搜索
结构式搜索
搜索
供应商:
我要出现这里
暂无推荐供应商。
我要出现这里
相关CAS号:
2792186-12-8
2152640-01-0
2171795-62-1
1231254-49-1
2229566-81-6
2792200-53-2
2228947-22-4
2229423-14-5
2228938-22-3
2229536-99-4
84246-48-0
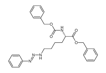
84246-48-0结构式
常用中文名:
benzylN2-((benzyloxy)carbonyl)-N6-(phenyldiazenyl)-L-lysinate
常用英文名:
benzylN2-((benzyloxy)carbonyl)-N6-(phenyldiazenyl)-L-lysinate
CAS号:
84246-48-0
分子式:
C
27
H
30
N
4
O
4
分子量:
474.55200
发布时间:
2016-12-29 16:47:49
更新时间:
2025-08-25 17:58:40
化源商城直购
名称
物化性质
上下游产品
英文名
benzylN2-((benzyloxy)carbonyl)-N6-(phenyldiazenyl)-L-lysinate
分子式
C
27
H
30
N
4
O
4
分子量
474.55200
精确质量
474.22700
PSA
101.38000
LogP
6.26540
上游产品
0
下游产品
2
84246-49-1
84246-50-4
本网页内容来自不同专业数据源,如对内容有疑义,欢迎联系service1@chemsrc.com。
【84246-48-0】化源网提供CAS号/CAS登录号84246-48-0,CAS No.:84246-48-0的msds、结构式、性质、英文名、生产厂家、作用/用途、分子式/化学式、密度、沸点、熔点等。CAS号查询84246-48-0上化源网,专业又轻松。
标题:84246-48-0_CAS号:84246-48-0_CAS No.:84246-48-0 - 化源网 地址:https://m.chemsrc.com/baike/578161.html
×
详细合成路线
×
退出
×
登录
用户名:
密 码: