cas号查询
登录
注册
化源商城
首页
我的化源
个人信息
我的求购
我的供货
快速发布求购
联系我们
English
前往化源商城
文献检索
官能团搜索
结构式搜索
搜索
供应商:
我要出现这里
暂无推荐供应商。
我要出现这里
相关CAS号:
941901-76-4
941988-62-1
922953-05-7
941988-65-4
941901-80-0
941951-85-5
113984-72-8
941951-87-7
941908-07-2
941901-84-4
832743-71-2
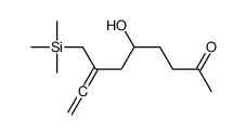
832743-71-2结构式
常用中文名:
5-hydroxy-7-(trimethylsilylmethyl)nona-7,8-dien-2-one
常用英文名:
5-hydroxy-7-(trimethylsilylmethyl)nona-7,8-dien-2-one
CAS号:
832743-71-2
分子式:
C
13
H
24
O
2
Si
分子量:
240.41400
发布时间:
2016-12-06 01:21:16
更新时间:
2025-10-10 19:50:10
化源商城直购
名称
物化性质
英文名
5-hydroxy-7-(trimethylsilylmethyl)nona-7,8-dien-2-one
分子式
C
13
H
24
O
2
Si
分子量
240.41400
精确质量
240.15500
PSA
37.30000
LogP
3.15610
本网页内容来自不同专业数据源,如对内容有疑义,欢迎联系service1@chemsrc.com。
【832743-71-2】化源网提供CAS号/CAS登录号832743-71-2,CAS No.:832743-71-2的msds、结构式、性质、英文名、生产厂家、作用/用途、分子式/化学式、密度、沸点、熔点等。CAS号查询832743-71-2上化源网,专业又轻松。
标题:832743-71-2_CAS号:832743-71-2_CAS No.:832743-71-2 - 化源网 地址:https://m.chemsrc.com/baike/707805.html
×
详细合成路线
×
退出
×
登录
用户名:
密 码: