cas号查询
登录
注册
化源商城
首页
我的化源
个人信息
我的求购
我的供货
快速发布求购
联系我们
English
前往化源商城
文献检索
官能团搜索
结构式搜索
搜索
供应商:
我要出现这里
暂无推荐供应商。
我要出现这里
相关CAS号:
460711-34-6
3056-60-8
3245-23-6
2114-29-6
53735-55-0
345-30-2
3742-81-2
3056-59-5
85567-27-7
460711-33-5
2227917-69-1
2228455-58-9
2229094-32-8
2228820-01-5
2228593-92-6
2172371-17-2
2171925-47-4
1869486-89-4
1379839-28-7
2137586-86-6
460711-34-6
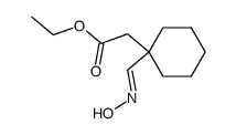
460711-34-6结构式
常用中文名:
ethyl (1-hydroxyiminomethylcyclohexyl)acetate
常用英文名:
ethyl (1-hydroxyiminomethylcyclohexyl)acetate
CAS号:
460711-34-6
分子式:
C
11
H
19
NO
3
分子量:
213.27300
发布时间:
2016-09-01 11:01:49
更新时间:
2025-08-25 09:37:30
化源商城直购
名称
物化性质
上下游产品
英文名
ethyl (1-hydroxyiminomethylcyclohexyl)acetate
分子式
C
11
H
19
NO
3
分子量
213.27300
精确质量
213.13600
PSA
58.89000
LogP
2.35010
上游产品
0
下游产品
1
64744-50-9
本网页内容来自不同专业数据源,如对内容有疑义,欢迎联系service1@chemsrc.com。
【460711-34-6】化源网提供CAS号/CAS登录号460711-34-6,CAS No.:460711-34-6的msds、结构式、性质、英文名、生产厂家、作用/用途、分子式/化学式、密度、沸点、熔点等。CAS号查询460711-34-6上化源网,专业又轻松。
标题:460711-34-6_CAS号:460711-34-6_CAS No.:460711-34-6 - 化源网 地址:https://m.chemsrc.com/baike/748450.html
×
详细合成路线
×
退出
×
登录
用户名:
密 码: