cas号查询
登录
注册
化源商城
首页
我的化源
个人信息
我的求购
我的供货
快速发布求购
联系我们
English
前往化源商城
文献检索
官能团搜索
结构式搜索
搜索
供应商:
我要出现这里
暂无推荐供应商。
我要出现这里
相关CAS号:
2680669-98-9
2680871-85-4
2680692-41-3
2680761-92-4
2680729-50-2
2680902-73-0
2680762-05-2
2680709-70-8
2680789-59-5
2680680-70-8
122947-25-5
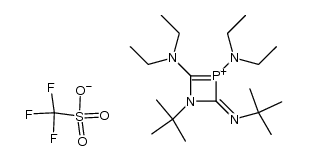
122947-25-5结构式
常用中文名:
1-(tert-butyl)-2-(tert-butylimino)-3,4-bis(diethylamino)-1,2-dihydro-1,3-azaphosphet-3-ium trifluoromethanesulfonate
常用英文名:
1-(tert-butyl)-2-(tert-butylimino)-3,4-bis(diethylamino)-1,2-dihydro-1,3-azaphosphet-3-ium trifluoromethanesulfonate
CAS号:
122947-25-5
分子式:
C
19
H
38
F
3
N
4
O
3
PS
分子量:
490.56400
发布时间:
2017-11-10 08:35:24
更新时间:
2025-09-29 15:33:29
化源商城直购
名称
物化性质
英文名
1-(tert-butyl)-2-(tert-butylimino)-3,4-bis(diethylamino)-1,2-dihydro-1,3-azaphosphet-3-ium trifluoromethanesulfonate
分子式
C
19
H
38
F
3
N
4
O
3
PS
分子量
490.56400
精确质量
490.23500
PSA
121.80000
LogP
5.49300
本网页内容来自不同专业数据源,如对内容有疑义,欢迎联系service1@chemsrc.com。
【122947-25-5】化源网提供CAS号/CAS登录号122947-25-5,CAS No.:122947-25-5的msds、结构式、性质、英文名、生产厂家、作用/用途、分子式/化学式、密度、沸点、熔点等。CAS号查询122947-25-5上化源网,专业又轻松。
标题:122947-25-5_CAS号:122947-25-5_CAS No.:122947-25-5 - 化源网 地址:https://m.chemsrc.com/baike/815208.html
×
详细合成路线
×
退出
×
登录
用户名:
密 码: