前往化源商城

2-aminoethyl 2-methylprop-2-enoate,butyl prop-2-enoate,2-hydroxyethyl 2-methylprop-2-enoate,hydrochloride

更新时间:2025-10-05 10:49:44

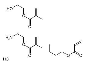
2-aminoethyl 2-methylprop-2-enoate,butyl prop-2-enoate,2-hydroxyethyl 2-methylprop-2-enoate,hydrochloride结构式
2-aminoethyl 2-methylprop-2-enoate,butyl prop-2-enoate,2-hydroxyethyl 2-methylprop-2-enoate,hydrochloride结构式
委托求购
常用名 2-aminoethyl 2-methylprop-2-enoate,butyl prop-2-enoate,2-hydroxyethyl 2-methylprop-2-enoate,hydrochloride 英文名 2-aminoethyl 2-methylprop-2-enoate,butyl prop-2-enoate,2-hydroxyethyl 2-methylprop-2-enoate,hydrochloride
CAS号 110389-14-5 分子量 423.92900
密度 N/A 沸点 N/A
分子式 C19H34ClNO7 熔点 N/A
MSDS N/A 闪点 N/A

 名称

英文名 2-aminoethyl 2-methylprop-2-enoate,butyl prop-2-enoate,2-hydroxyethyl 2-methylprop-2-enoate,hydrochloride
英文别名 更多

 物理化学性质

分子式 C19H34ClNO7
分子量 423.92900
精确质量 423.20200
PSA 125.15000
LogP 3.18040

 英文别名

2-Propenoic acid,2-methyl-,2-hydroxyethyl ester,polymer with 2-aminoethyl 2-methyl-2-propenoate hydrochloride (1:1) and butyl 2-propenoate
2-Propenoic acid,2-methyl-,2-hydroxyethyl ester,polymer with 2-aminoethyl 2-methyl-2-propenoate hydrochloride and butyl 2-propenoate
本网页内容来自不同专业数据源,如对内容有疑义,欢迎联系service1@chemsrc.com。