前往化源商城

2-[(3S)-3-acetyloxyhexadecanoyl]oxyethyl-trimethylazanium,chloride

更新时间:2024-01-08 16:24:48

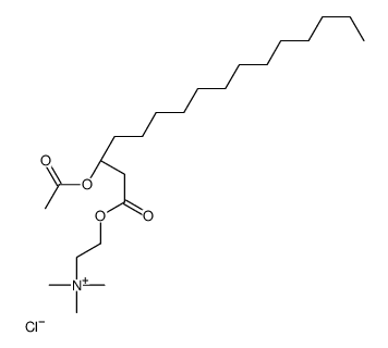
2-[(3S)-3-acetyloxyhexadecanoyl]oxyethyl-trimethylazanium,chloride结构式
2-[(3S)-3-acetyloxyhexadecanoyl]oxyethyl-trimethylazanium,chloride结构式
委托求购
常用名 2-[(3S)-3-acetyloxyhexadecanoyl]oxyethyl-trimethylazanium,chloride 英文名 2-[(3S)-3-acetyloxyhexadecanoyl]oxyethyl-trimethylazanium,chloride
CAS号 27742-14-9 分子量 436.06900
密度 N/A 沸点 N/A
分子式 C23H46ClNO4 熔点 N/A
MSDS N/A 闪点 N/A

 名称

英文名 2-[(3S)-3-acetyloxyhexadecanoyl]oxyethyl-trimethylazanium,chloride
英文别名 更多

 物理化学性质

分子式 C23H46ClNO4
分子量 436.06900
精确质量 435.31200
PSA 52.60000
LogP 2.26270
InChIKey NJEOXMPQOCEVAI-FTBISJDPSA-M
SMILES CCCCCCCCCCCCCC(CC(=O)OCC[N+](C)(C)C)OC(C)=O.[Cl-]

 英文别名

Pahutoxin
Ethanaminium,2-((3-(acetyloxy)-1-oxohexadecyl)oxy)-N,N,N-trimethyl-,chloride,(S)
2-[(3S)-3-acetyloxyhexadecanoyl]oxyethyl-trimethylazanium chloride
Ethanaminium,2-(((3S)-3-(acetyloxy)-1-oxohexadecyl)oxy)-N,N,N-trimethyl-,chloride
2-{[(3s)-3-(acetyloxy)hexadecanoyl]oxy}-n,n,n-trimethylethanaminium chloride
本网页内容来自不同专业数据源,如对内容有疑义,欢迎联系service1@chemsrc.com。