前往化源商城

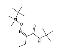
N-tert-butyl-2-<<(tert-butyldimethylsilyl)oxy>imino>butanamide

更新时间:2025-08-23 17:32:45

N-tert-butyl-2-<<(tert-butyldimethylsilyl)oxy>imino>butanamide结构式
N-tert-butyl-2-<<(tert-butyldimethylsilyl)oxy>imino>butanamide结构式
委托求购
常用名 N-tert-butyl-2-<<(tert-butyldimethylsilyl)oxy>imino>butanamide 英文名 N-tert-butyl-2-<<(tert-butyldimethylsilyl)oxy>imino>butanamide
CAS号 88089-97-8 分子量 286.48600
密度 N/A 沸点 N/A
分子式 C14H30N2O2Si 熔点 N/A
MSDS N/A 闪点 N/A

 名称

英文名 N-tert-butyl-2-<<(tert-butyldimethylsilyl)oxy>imino>butanamide
英文别名 更多

 物理化学性质

分子式 C14H30N2O2Si
分子量 286.48600
精确质量 286.20800
PSA 50.69000
LogP 4.07980

 英文别名

N-tert-butyl-2-{[(tert-butyldimethylsilyl)oxy]imino}butanamide
本网页内容来自不同专业数据源,如对内容有疑义,欢迎联系service1@chemsrc.com。