前往化源商城

tripotassium trihydrogen [nitrilotris(methylene)]trisphosphonate

更新时间:2024-01-09 18:47:19

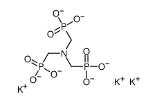
tripotassium trihydrogen [nitrilotris(methylene)]trisphosphonate结构式
tripotassium trihydrogen [nitrilotris(methylene)]trisphosphonate结构式
委托求购
常用名 tripotassium trihydrogen [nitrilotris(methylene)]trisphosphonate 英文名 tripotassium trihydrogen [nitrilotris(methylene)]trisphosphonate
CAS号 94021-24-6 分子量 410.29700
密度 N/A 沸点 N/A
分子式 C3H6K3NO9P3 熔点 N/A
MSDS N/A 闪点 N/A

 名称

英文名 tripotassium,hydroxy-[[phosphonatomethyl(phosphonomethyl)amino]methyl]phosphinate
英文别名 更多

 物理化学性质

分子式 C3H6K3NO9P3
分子量 410.29700
精确质量 409.81700
PSA 222.24000
LogP 1.32320

 英文别名

einecs 301-417-3
本网页内容来自不同专业数据源,如对内容有疑义,欢迎联系service1@chemsrc.com。