651020-92-7

651020-92-7 structure
651020-92-7 structure
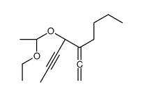
  • Name: (4S)-5-ethenylidene-4-(1-ethoxyethoxy)non-2-yne
  • Chemical Name: (4S)-5-ethenylidene-4-(1-ethoxyethoxy)non-2-yne
  • CAS Number: 651020-92-7
  • Molecular Formula: C15H24O2
  • Molecular Weight: 236.35000
  • Create Date: 2017-06-18 23:28:28
  • Modify Date: 2023-02-01 18:51:25

Name (4S)-5-ethenylidene-4-(1-ethoxyethoxy)non-2-yne
Molecular Formula C15H24O2
Molecular Weight 236.35000
Exact Mass 236.17800
PSA 18.46000
LogP 3.67890
The content on this webpage is sourced from various professional data sources. If you have any questions or concerns regarding the content, please feel free to contact service1@chemsrc.com.