Top Suppliers:I want be here

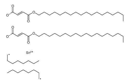
62480-03-9

62480-03-9 structure
62480-03-9 structure

Name 4-O-[(4-octadecoxy-4-oxobut-2-enoyl)oxy-dioctylstannyl] 1-O-octadecyl but-2-enedioate
Boiling Point 483.4ºC at 760 mmHg
Molecular Formula C60H112O8Sn
Molecular Weight 1080.23000
Exact Mass 1080.74000
PSA 132.86000
LogP 16.17560
The content on this webpage is sourced from various professional data sources. If you have any questions or concerns regarding the content, please feel free to contact service1@chemsrc.com.