66432-30-2

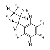
66432-30-2 structure
66432-30-2 structure

Name 1,2,2-trideuterio-2-pentadeuteriophenyl-1-trideuteriomethyl-ethylamine
Synonyms Phenyl-2-aminopropan-d11
Molecular Formula C9H2D11N
Molecular Weight 146.27400
Exact Mass 146.17400
PSA 26.02000
LogP 2.27660
The content on this webpage is sourced from various professional data sources. If you have any questions or concerns regarding the content, please feel free to contact service1@chemsrc.com.