1246372-73-5

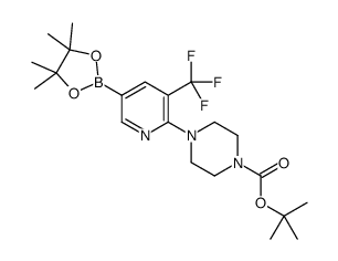
1246372-73-5 structure
1246372-73-5 structure

Name tert-butyl 4-[5-(4,4,5,5-tetramethyl-1,3,2-dioxaborolan-2-yl)-3-(trifluoromethyl)pyridin-2-yl]piperazine-1-carboxylate
Synonyms tert-butyl 4-(5-(4,4,5,5-tetramethyl-1,3,2-dioxaborolan-2-yl)-3-(trifluoromethyl)pyridin-2-yl)piperazine-1-carboxylate
Molecular Formula C21H31BF3N3O4
Molecular Weight 457.29500
Exact Mass 457.23600
PSA 64.13000
LogP 3.45960
The content on this webpage is sourced from various professional data sources. If you have any questions or concerns regarding the content, please feel free to contact service1@chemsrc.com.