Top Suppliers:I want be here

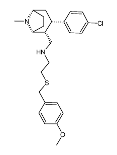
189950-05-8

189950-05-8 structure
189950-05-8 structure

Name N-(((1R,2R,3S,5S)-3-(4-chlorophenyl)-8-methyl-8-azabicyclo[3.2.1]octan-2-yl)methyl)-2-((4-methoxybenzyl)thio)ethan-1-amine
Molecular Formula C25H33ClN2OS
Molecular Weight 445.06000
Exact Mass 444.20000
PSA 49.80000
LogP 5.76670
The content on this webpage is sourced from various professional data sources. If you have any questions or concerns regarding the content, please feel free to contact service1@chemsrc.com.