Top Suppliers:I want be here

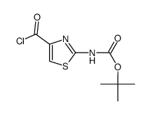
347869-17-4

347869-17-4 structure
347869-17-4 structure

Name 2-(tert-butoxycarbonyl)amino-1,3-thiazole-4-carboxylic chloride
Synonyms 2-[N-Boc(amino)]-4-thiazolecarboxylate acid chloride
Molecular Formula C9H11ClN2O3S
Molecular Weight 262.71300
Exact Mass 262.01800
PSA 96.53000
LogP 2.94210
The content on this webpage is sourced from various professional data sources. If you have any questions or concerns regarding the content, please feel free to contact service1@chemsrc.com.