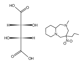
2-Methyl-4-nitro-4-propyl-decahydro-pyrido[1,2-a][1,4]diazepine; compound with (2R,3R)-2,3-dihydroxy-succinic acid
Molecular Formula
C17H31N3O8
Molecular Weight
405.44300
Exact Mass
405.21100
PSA
167.36000
The content on this webpage is sourced from various professional data sources. If you have any questions or concerns regarding the content, please feel free to contact service1@chemsrc.com.
Chemsrc provides CAS#:62175-95-5 MSDS, density, melting point, boiling point, structure, formula, molecular weight, synthetic route, etc. title: CAS No. 62175-95-5 | Chemsrc address: https://m.chemsrc.com/en/baike/1301067.html