Top Suppliers:I want be here

31980-87-7

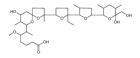
31980-87-7 structure
31980-87-7 structure
  • Name: 5-(5-Carboxy-2-methoxy-1-methylpentyl)-5-de(3-carboxy-2-methoxy-1-methylbutyl)monensin
  • Chemical Name: 6-{2-[2-Ethyl-5'-(6-hydroxy-6-hydroxymethyl-3,5-dimethyl-tetrahydro-pyran-2-yl)-3'-methyl-octahydro-[2,2']bifuranyl-5-yl]-9-hydroxy-2,8-dimethyl-1,6-dioxa-spiro[4.5]dec-7-yl}-5-methoxy-heptanoic acid
  • CAS Number: 31980-87-7
  • Molecular Formula: C37H64O11
  • Molecular Weight: 684.89700
  • Create Date: 2018-01-15 00:01:34
  • Modify Date: 2025-09-27 19:07:19

Name 6-{2-[2-Ethyl-5'-(6-hydroxy-6-hydroxymethyl-3,5-dimethyl-tetrahydro-pyran-2-yl)-3'-methyl-octahydro-[2,2']bifuranyl-5-yl]-9-hydroxy-2,8-dimethyl-1,6-dioxa-spiro[4.5]dec-7-yl}-5-methoxy-heptanoic acid
Molecular Formula C37H64O11
Molecular Weight 684.89700
Exact Mass 684.44500
PSA 153.37000
LogP 4.80710
The content on this webpage is sourced from various professional data sources. If you have any questions or concerns regarding the content, please feel free to contact service1@chemsrc.com.