62401-42-7

62401-42-7 structure
62401-42-7 structure

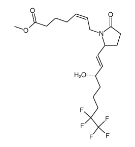
Name (Z)-7-[2-Oxo-5-((E)-7,7,8,8,8-pentafluoro-3-hydroxy-oct-1-enyl)-pyrrolidin-1-yl]-hept-5-enoic acid methyl ester
Molecular Formula C20H28F5NO4
Molecular Weight 441.43300
Exact Mass 441.19400
PSA 66.84000
LogP 4.09980
The content on this webpage is sourced from various professional data sources. If you have any questions or concerns regarding the content, please feel free to contact service1@chemsrc.com.