Top Suppliers:I want be here

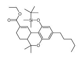
1262438-66-3

1262438-66-3 structure
1262438-66-3 structure

Name ethyl (6aR,10aR)-1-[tert-butyl(dimethyl)silyl]oxy-6,6-dimethyl-3-pentyl-6a,7,8,10a-tetrahydrobenzo[c]chromene-9-carboxylate
Synonyms 1-O-[(tert-Butyl)dimethylsilyloxy]-9-carboxylic Acid Ethyl Ester | currency9-Tetrahydro Cannabinol
(6aR,10aR)-1-[[(1,1-Dimethylethyl)dimethylsilyl]oxy]-6a,7,8,10a-tetrahydro-6,6-dimethyl-3-pentyl-6H-dibenzo[b,d]pyran-9-carboxylic Acid Ethyl Ester
Molecular Formula C29H46O4Si
Molecular Weight 486.75900
Exact Mass 486.31700
PSA 44.76000
LogP 7.95740
The content on this webpage is sourced from various professional data sources. If you have any questions or concerns regarding the content, please feel free to contact service1@chemsrc.com.