62092-82-4

62092-82-4 structure
62092-82-4 structure

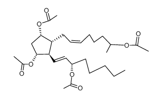
Name Acetic acid (1R,2R,3R,4S)-4-acetoxy-3-((Z)-7-acetoxy-oct-2-enyl)-2-((E)-(S)-3-acetoxy-oct-1-enyl)-cyclopentyl ester
Molecular Formula C29H46O8
Molecular Weight 522.67100
Exact Mass 522.31900
PSA 105.20000
LogP 5.62230
The content on this webpage is sourced from various professional data sources. If you have any questions or concerns regarding the content, please feel free to contact service1@chemsrc.com.