455901-37-8

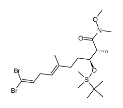
455901-37-8 structure
455901-37-8 structure

Name (3S,2R)(9Z,6E)-10,10-dibromo-N-methoxy-2,6-dimethyl-N-methyl-3-(1,1,2,2-tetramethyl-1-silapropoxy)deca-6,9-dienamide
Synonyms (E)-(2R,3S)-10,10-Dibromo-3-(tert-butyl-dimethyl-silanyloxy)-2,6-dimethyl-deca-6,9-dienoic acid methoxy-methyl-amide
Molecular Formula C20H37Br2NO3Si
Molecular Weight 527.40600
Exact Mass 525.09100
PSA 38.77000
LogP 6.78050
The content on this webpage is sourced from various professional data sources. If you have any questions or concerns regarding the content, please feel free to contact service1@chemsrc.com.