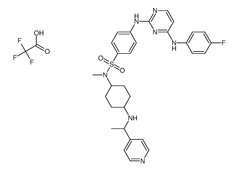
919835-18-0

919835-18-0 structure
919835-18-0 structure

Name 4-[4-(4-fluorophenylamino)pyrimidin-2-yl-amino]-N-methyl-N-[4-(1-pyridin-4-ylethylamino)cyclo-hexyl]benzenesulfonamide trifluoroacetic acid
Molecular Formula C32H35F4N7O4S
Molecular Weight 689.72300
Exact Mass 689.24100
PSA 157.82000
LogP 8.03140
The content on this webpage is sourced from various professional data sources. If you have any questions or concerns regarding the content, please feel free to contact service1@chemsrc.com.