74712-72-4

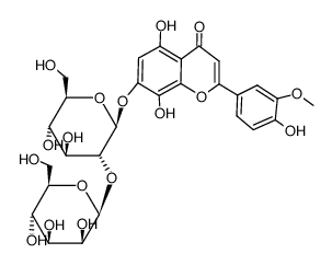
74712-72-4 structure
74712-72-4 structure
  • Name: spectabiflaside
  • Chemical Name: spectabiflaside
  • CAS Number: 74712-72-4
  • Molecular Formula: C28H32O17
  • Molecular Weight: 640.54300
  • Create Date: 2018-04-01 22:51:32
  • Modify Date: 2025-09-08 15:53:29

Name spectabiflaside
Synonyms 7-[(2S,3R,4S,5S,6R)-4,5-Dihydroxy-6-hydroxymethyl-3-((2S,3S,4S,5S,6R)-3,4,5-trihydroxy-6-hydroxymethyl-tetrahydro-pyran-2-yloxy)-tetrahydro-pyran-2-yloxy]-5,8-dihydroxy-2-(4-hydroxy-3-methoxy-phenyl)-chromen-4-one
Molecular Formula C28H32O17
Molecular Weight 640.54300
Exact Mass 640.16400
PSA 278.66000
The content on this webpage is sourced from various professional data sources. If you have any questions or concerns regarding the content, please feel free to contact service1@chemsrc.com.