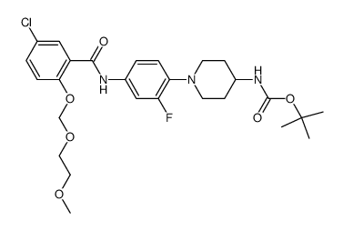
1000054-09-0

1000054-09-0 structure
1000054-09-0 structure

Name (1-{4-[5-chloro-2-(2-methoxyethoxymethoxy)benzoylamino]-2-fluorophenyl}piperidin-4-yl)carbamic acid tert-butyl ester
Molecular Formula C27H35ClFN3O6
Molecular Weight 552.03500
Exact Mass 551.22000
PSA 98.36000
LogP 5.75310
The content on this webpage is sourced from various professional data sources. If you have any questions or concerns regarding the content, please feel free to contact service1@chemsrc.com.