55879-48-6

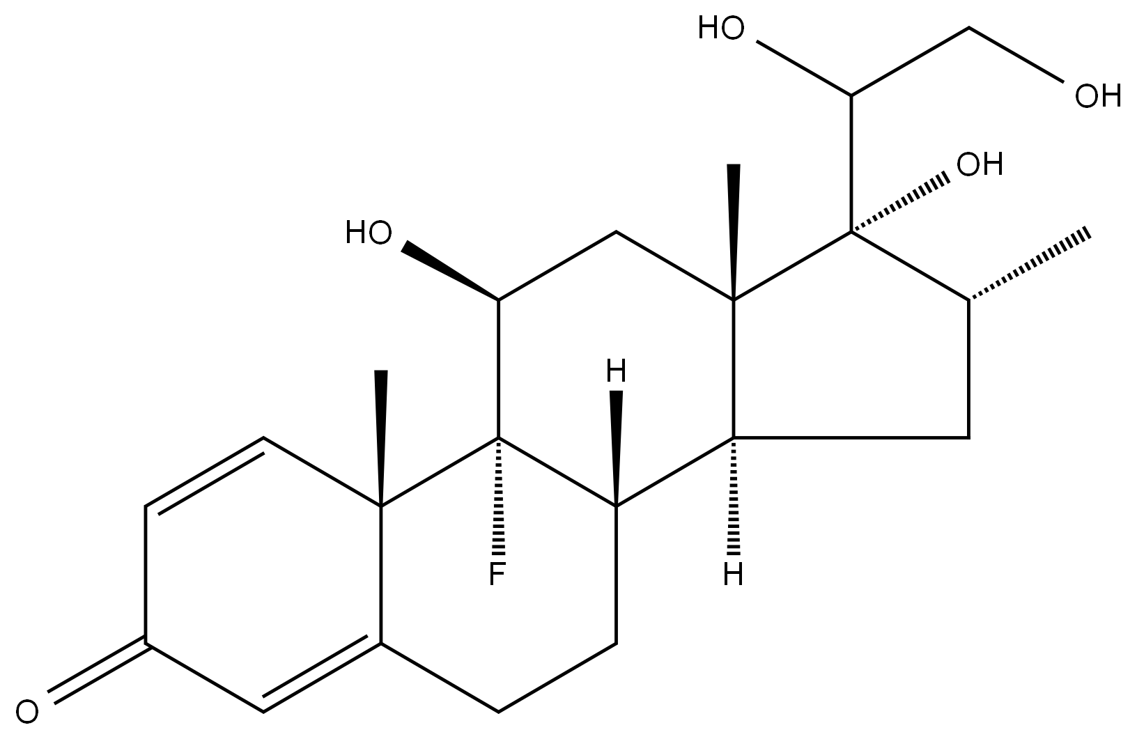
55879-48-6 structure
55879-48-6 structure

Name Pregna-1,4-dien-3-one, 9-fluoro-11,17,20,21-tetrahydroxy-16-methyl-, (11β,16α)- (9CI)
Density 1.32±0.1 g/cm3(Predicted)
Boiling Point 587.8±50.0 °C(Predicted)
Melting Point >230°C (dec.)
Molecular Formula C22H31FO5
Molecular Weight 394.48
The content on this webpage is sourced from various professional data sources. If you have any questions or concerns regarding the content, please feel free to contact service1@chemsrc.com.