11003-96-6

11003-96-6 structure
11003-96-6 structure

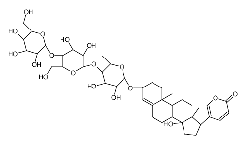
Name 5-[(3S,8R,9S,10R,13R,14S,17R)-3-[(2R,3R,4S,5R,6S)-5-[(2S,3R,4R,5S,6R)-3,4-dihydroxy-6-(hydroxymethyl)-5-[(2S,3R,4S,5S,6R)-3,4,5-trihydroxy-6-(hydroxymethyl)oxan-2-yl]oxyoxan-2-yl]oxy-3,4-dihydroxy-6-methyloxan-2-yl]oxy-14-hydroxy-10,13-dimethyl-1,2,3,6,7,
Synonyms Glucoscillaren A
Scillaren + rhamnose + glucose + glucose
Scillaren + rhamnose + glucose + glucose [German]
Density 1.51g/cm3
Boiling Point 1042.7ºC at 760mmHg
Molecular Formula C42H62O18
Molecular Weight 854.93100
Flash Point 310.5ºC
Exact Mass 854.39400
PSA 287.89000
Vapour Pressure 0mmHg at 25°C
Index of Refraction 1.654
The content on this webpage is sourced from various professional data sources. If you have any questions or concerns regarding the content, please feel free to contact service1@chemsrc.com.