Top Suppliers:I want be here
Related CAS#:

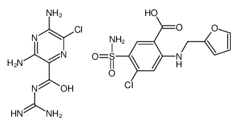
92522-90-2

92522-90-2 structure
92522-90-2 structure

Name 4-chloro-2-(furan-2-ylmethylamino)-5-sulfamoylbenzoic acid,3,5-diamino-6-chloro-N-(diaminomethylidene)pyrazine-2-carboxamide
Synonyms Fupiram
Boiling Point 582.1ºC at 760mmHg
Molecular Formula C18H19Cl2N9O6S
Molecular Weight 560.37100
Flash Point 305.9ºC
Exact Mass 559.05600
PSA 291.29000
LogP 5.19970
The content on this webpage is sourced from various professional data sources. If you have any questions or concerns regarding the content, please feel free to contact service1@chemsrc.com.