146389-62-0

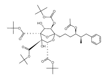
146389-62-0 structure
146389-62-0 structure
  • Name: zaragozic acid C
  • Chemical Name: zaragozic acid C
  • CAS Number: 146389-62-0
  • Molecular Formula: C40H50O14
  • Molecular Weight: 754.81700
  • Create Date: 2017-02-06 22:17:26
  • Modify Date: 2025-08-29 10:55:49

Name zaragozic acid C
Synonyms (1S,3S,4S,5R,6R,7R)-1-[(4R,5R)-4-acetyloxy-5-methyl-6-phenylhexyl]-4,7-dihydroxy-6-[(E,6R)-6-methyl-9-phenylnon-4-enoyl]oxy-2,8-dioxabicyclo[3.2.1]octane-3,4,5-tricarboxylic acid
UNII-04ISX24T1B
Molecular Formula C40H50O14
Molecular Weight 754.81700
Exact Mass 754.32000
PSA 223.42000
LogP 4.08430
Precursor  3

DownStream  0

The content on this webpage is sourced from various professional data sources. If you have any questions or concerns regarding the content, please feel free to contact service1@chemsrc.com.