89878-93-3

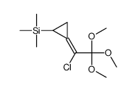
89878-93-3 structure
89878-93-3 structure

Name [2-(1-chloro-2,2,2-trimethoxyethylidene)cyclopropyl]-trimethylsilane
Molecular Formula C11H21ClO3Si
Molecular Weight 264.82100
Exact Mass 264.09500
PSA 27.69000
LogP 3.18440
The content on this webpage is sourced from various professional data sources. If you have any questions or concerns regarding the content, please feel free to contact service1@chemsrc.com.