90686-37-6

90686-37-6 structure
90686-37-6 structure
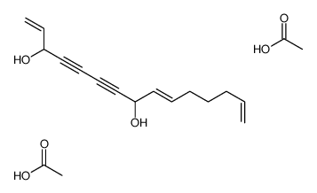
  • Name: acetic acid,pentadeca-1,9,14-trien-4,6-diyne-3,8-diol
  • Chemical Name: acetic acid,pentadeca-1,9,14-trien-4,6-diyne-3,8-diol
  • CAS Number: 90686-37-6
  • Molecular Formula: C19H26O6
  • Molecular Weight: 350.40600
  • Create Date: 2017-05-14 08:45:40
  • Modify Date: 2025-09-12 17:58:06

Name acetic acid,pentadeca-1,9,14-trien-4,6-diyne-3,8-diol
Synonyms 1,9,14-Pentadecatriene-4,6-diyne-3,8-diol,diacetate
Molecular Formula C19H26O6
Molecular Weight 350.40600
Exact Mass 350.17300
PSA 115.06000
LogP 1.99530
The content on this webpage is sourced from various professional data sources. If you have any questions or concerns regarding the content, please feel free to contact service1@chemsrc.com.