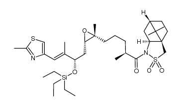
| Name | (S)-1-((3aR,6S,7aS)-8,8-dimethyl-2,2-dioxidotetrahydro-3H-3a,6-methanobenzo[c]isothiazol-1(4H)-yl)-2-methyl-5-((2R,3S)-2-methyl-3-((S,E)-3-methyl-4-(2-methylthiazol-4-yl)-2-((triethylsilyl)oxy)but-3-en-1-yl)oxiran-2-yl)pentan-1-one | 
|---|
| Molecular Formula | C34H56N2O5S2Si | 
|---|---|
| Molecular Weight | 665.03400 | 
| Exact Mass | 664.34000 | 
| PSA | 125.72000 | 
| LogP | 8.98480 | 
| Precursor 0 | |
|---|---|
| DownStream 1 | |