1092661-54-5

1092661-54-5 structure
1092661-54-5 structure

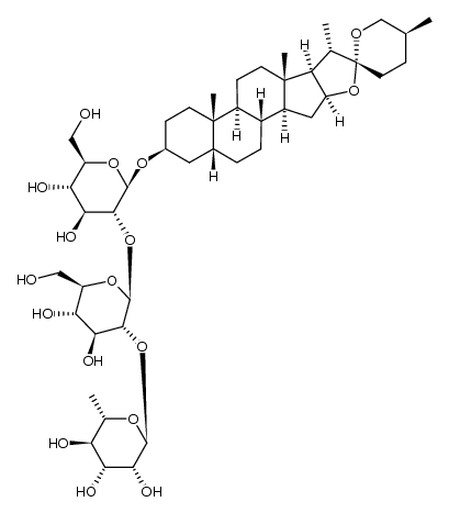
Name (25S)-5β-spirostane-3β-ol 3-O-α-L-rhamnopyranosyl-(1->2)-β-D-glucopyranosyl-(1->2)-β-D-glucopyranoside
Molecular Formula C45H74O17
Molecular Weight 887.05900
Exact Mass 886.49300
PSA 255.91000
LogP 0.29400
Precursor  0

DownStream  2

The content on this webpage is sourced from various professional data sources. If you have any questions or concerns regarding the content, please feel free to contact service1@chemsrc.com.