188899-08-3

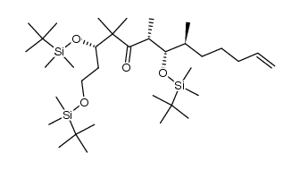
188899-08-3 structure
188899-08-3 structure

Name (3S,6R,7S,8S)-1,3,7-tris-(tert-butyldimethylsilyloxy)-4,4,6,8-tetramethyl-12-tridecen-5-one
Synonyms (3S,6R,7S,8S)-1,3,7-Tri-(tert-butyldimethylsilyloxy)-4,4,6,8-tetramethyl-12-tridecen-5-one
Molecular Formula C35H74O4Si3
Molecular Weight 643.21600
Exact Mass 642.48900
PSA 44.76000
LogP 11.40290
The content on this webpage is sourced from various professional data sources. If you have any questions or concerns regarding the content, please feel free to contact service1@chemsrc.com.