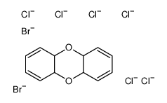
109264-68-8

109264-68-8 structure
109264-68-8 structure

Name 4a,5a,9a,10a-tetrahydrodibenzo-p-dioxin,dibromide,hexachloride
Synonyms Dibromohexachlorodibenzo(b,e)(1,4)dioxin
4a,5a,9a,10a-tetrahydrodibenzo-p-dioxin dibromide hexachloride
Boiling Point 309.5ºC at 760 mmHg
Molecular Formula C12H12Br2Cl6O2
Molecular Weight 560.74800
Flash Point 150.8ºC
Exact Mass 555.73400
PSA 18.46000
Vapour Pressure 0.00116mmHg at 25°C
The content on this webpage is sourced from various professional data sources. If you have any questions or concerns regarding the content, please feel free to contact service1@chemsrc.com.