68052-62-0

68052-62-0 structure
68052-62-0 structure

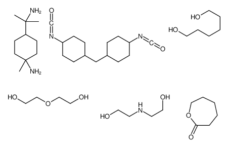
Name 4-(2-aminopropan-2-yl)-1-methylcyclohexan-1-amine,hexane-1,6-diol,2-(2-hydroxyethoxy)ethanol,2-(2-hydroxyethylamino)ethanol,1-isocyanato-4-[(4-isocyanatocyclohexyl)methyl]cyclohexane,oxepan-2-one
Boiling Point 363.4ºC at 760 mmHg
Molecular Formula C45H89N5O11
Molecular Weight 876.21500
Exact Mass 875.65600
PSA 279.84000
LogP 5.77170
The content on this webpage is sourced from various professional data sources. If you have any questions or concerns regarding the content, please feel free to contact service1@chemsrc.com.