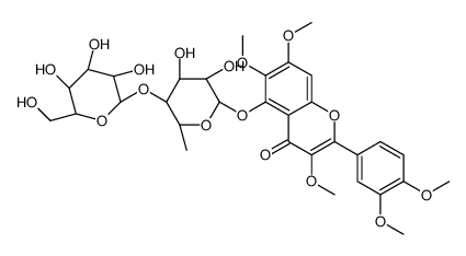
| Name | 5-[(3R,4S,6S)-3,4-dihydroxy-6-methyl-5-[(2S,3R,4S,5S,6R)-3,4,5-trihydroxy-6-(hydroxymethyl)oxan-2-yl]oxyoxan-2-yl]oxy-2-(3,4-dimethoxyphenyl)-3,6,7-trimethoxychromen-4-one |
|---|
| Molecular Formula | C32H40O17 |
|---|---|
| Molecular Weight | 696.65000 |
| Exact Mass | 696.22700 |
| PSA | 234.66000 |