172916-26-6

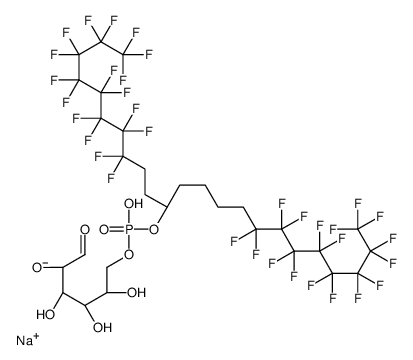
172916-26-6 structure
172916-26-6 structure

Name sodium,(2R,3R,4S,5R)-3,4,5-trihydroxy-6-[hydroxy(1,1,1,2,2,3,3,4,4,5,5,6,6,7,7,8,8,16,16,17,17,18,18,19,19,20,20,21,21,22,22,23,23,23-tetratriacontafluorotricosan-11-yloxy)phosphoryl]oxy-1-oxohexan-2-olate
Molecular Formula C29H24F34NaO9P
Molecular Weight 1216.40000
Exact Mass 1216.05000
PSA 166.39000
LogP 10.92870
The content on this webpage is sourced from various professional data sources. If you have any questions or concerns regarding the content, please feel free to contact service1@chemsrc.com.