Top Suppliers:I want be here
Related CAS#:

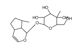
83946-28-5

83946-28-5 structure
83946-28-5 structure

Name (2R,3S,4R,5R,6S)-6-[[(4aS,7R,7aR)-7-methyl-1,4a,5,6,7,7a-hexahydrocyclopenta[c]pyran-1-yl]oxy]-2-(hydroxymethyl)-3-methyloxane-3,4,5-triol
Synonyms Boschnaside
Molecular Formula C16H26O7
Molecular Weight 330.37300
Exact Mass 330.16800
PSA 108.61000
The content on this webpage is sourced from various professional data sources. If you have any questions or concerns regarding the content, please feel free to contact service1@chemsrc.com.