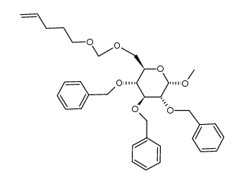
121237-83-0

121237-83-0 structure
121237-83-0 structure

Name (2S,3R,4S,5R,6R)-3,4,5-tris(benzyloxy)-2-methoxy-6-(((pent-4-en-1-yloxy)methoxy)methyl)tetrahydro-2H-pyran
Molecular Formula C34H42O7
Molecular Weight 562.69300
Exact Mass 562.29300
PSA 64.61000
LogP 6.07080
Precursor  0

DownStream  1

The content on this webpage is sourced from various professional data sources. If you have any questions or concerns regarding the content, please feel free to contact service1@chemsrc.com.