Top Suppliers:I want be here

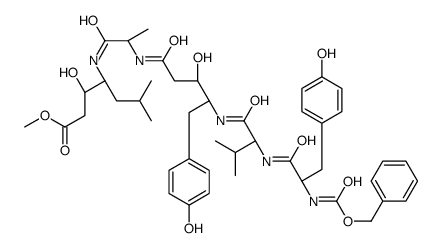
145031-51-2

145031-51-2 structure
145031-51-2 structure

Name methyl (3S)-3-hydroxy-4-[[(2S)-2-[[(3S,4S)-3-hydroxy-5-(4-hydroxyphenyl)-4-[[(2S)-2-[[(2S)-3-(4-hydroxyphenyl)-2-(phenylmethoxycarbonylamino)propanoyl]amino]-3-methylbutanoyl]amino]pentanoyl]amino]propanoyl]amino]-6-methylheptanoate
Density 1.25g/cm3
Boiling Point 1150.1ºC at 760 mmHg
Molecular Formula C45H61N5O12
Molecular Weight 863.99200
Flash Point 649.3ºC
Exact Mass 863.43200
PSA 279.40000
LogP 6.07980
Vapour Pressure 0mmHg at 25°C
Index of Refraction 1.576
The content on this webpage is sourced from various professional data sources. If you have any questions or concerns regarding the content, please feel free to contact service1@chemsrc.com.