Top Suppliers:I want be here

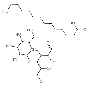
51801-27-5

51801-27-5 structure
51801-27-5 structure

Name tetradecanoic acid,2,3,5,6-tetrahydroxy-4-[3,4,5-trihydroxy-6-(hydroxymethyl)oxan-2-yl]oxyhexanal
Boiling Point 774.5ºC at 760 mmHg
Molecular Formula C26H50O13
Molecular Weight 570.66700
Flash Point 288.9ºC
Exact Mass 570.32500
PSA 234.67000
The content on this webpage is sourced from various professional data sources. If you have any questions or concerns regarding the content, please feel free to contact service1@chemsrc.com.