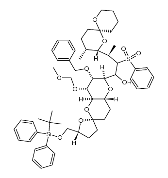
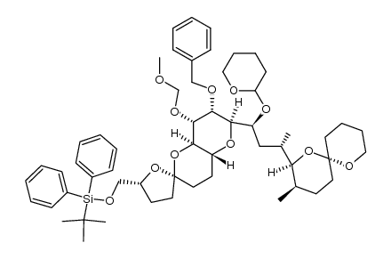
115352-17-5

115352-17-5 structure
115352-17-5 structure
  • Name:
  • Chemical Name:
  • CAS Number: 115352-17-5
  • Molecular Formula: C50H74O10Si
  • Molecular Weight: 863.20200
  • Create Date: 2016-12-25 03:50:13
  • Modify Date: 2025-08-26 22:14:07

Synonyms tert-butyl(((2R,4a'R,5R,6'S,8'R,8a'R)-8'-(methoxymethoxy)-6'-((1S,3S)-3-((2S,3R,6S)-3-methyl-1,7-dioxaspiro[5.5]undecan-2-yl)-1-((tetrahydro-2H-pyran-2-yl)oxy)butyl)-7'-methyleneoctahydro-3H,3'H-spiro[furan-2,2'-pyrano[3,2-b]pyran]-5-yl)methoxy)diphenylsilane
Molecular Formula C50H74O10Si
Molecular Weight 863.20200
Exact Mass 862.50500
PSA 92.30000
LogP 8.57990
The content on this webpage is sourced from various professional data sources. If you have any questions or concerns regarding the content, please feel free to contact service1@chemsrc.com.