733021-30-2

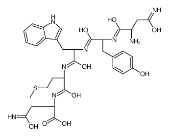
733021-30-2 structure
733021-30-2 structure

Name (2S)-4-amino-2-[[(2S)-2-[[(2S)-2-[[(2S)-2-[[(2S)-2,4-diamino-4-oxobutanoyl]amino]-3-(4-hydroxyphenyl)propanoyl]amino]-3-(1H-indol-3-yl)propanoyl]amino]-4-methylsulfanylbutanoyl]amino]-4-oxobutanoic acid
Synonyms L-Asparagine,L-asparaginyl-L-tyrosyl-L-tryptophyl-L-methionyl
Molecular Formula C33H42N8O9S
Molecular Weight 726.80000
Exact Mass 726.28000
PSA 343.16000
LogP 4.87460
The content on this webpage is sourced from various professional data sources. If you have any questions or concerns regarding the content, please feel free to contact service1@chemsrc.com.